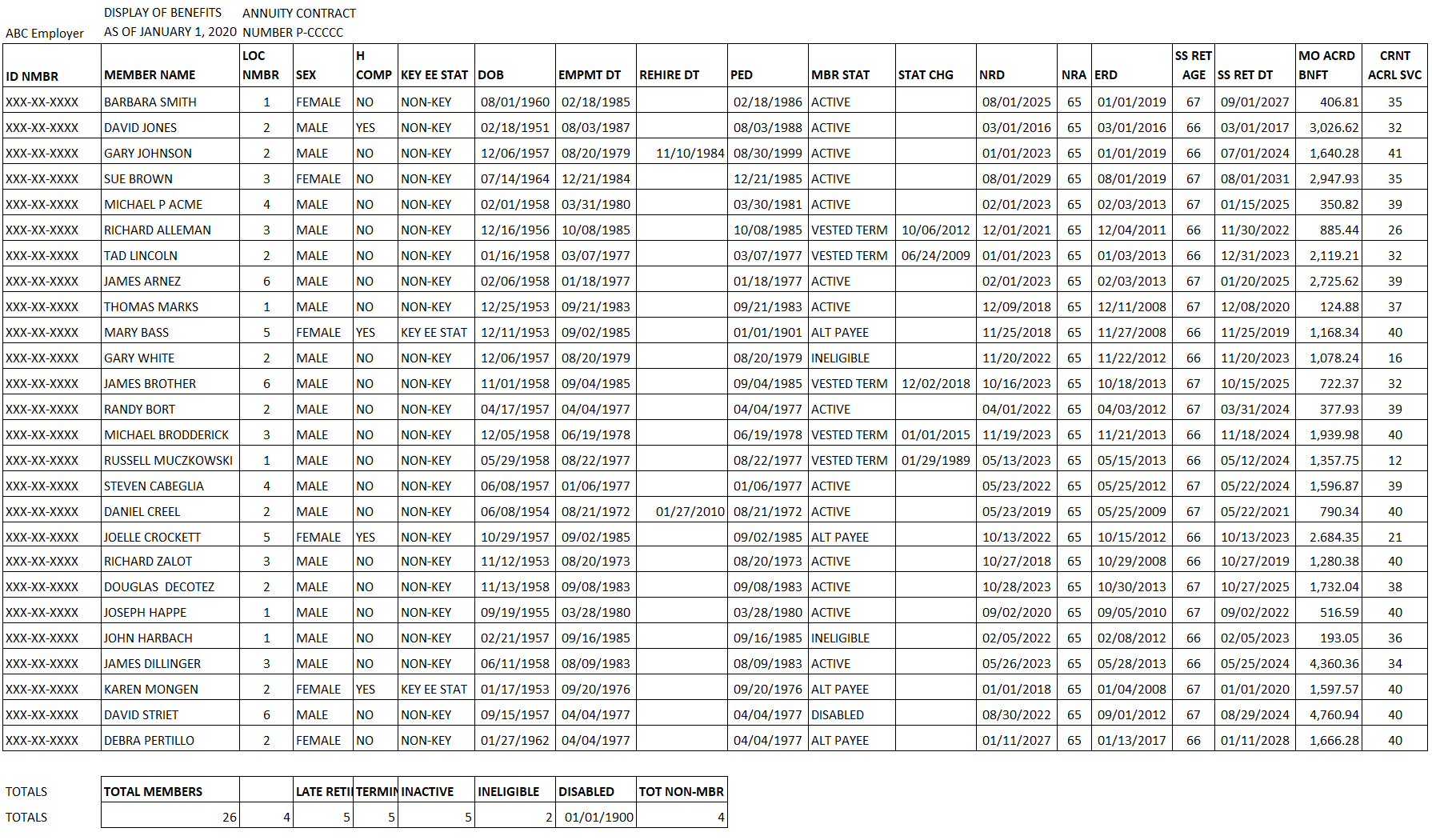
Plan Reports
Display of Benefits - Excel
Select the file you want to download.
- 2024 Display of Benefits - Excel - 07/22/2024
- 2023 Display of Benefits - Excel - 09/06/2023
- 2022 Display of Benefits - Excel - 09/01/2022
Data included in any report(s) is considered authentic only as of the exact date and time it is downloaded unless noted otherwise. Principal is dependent on the accuracy and completeness of some data provided from other soruces and no longer guarantees the authenticity of data once it has been moved into a PDF file.

